高光谱识别“红枣水分”的眼睛
红枣热风干燥,高光谱成像技术
红枣,是我国极&具代表性的特色农产品之一。从鲜果到干制品,看似只是“脱水",实则伴随着一系列复杂而精细的物理、化学变化:
水分迁移、糖酸浓缩、组织结构重排、颜色与质构演变……
干燥质量,几乎决定了红枣最终的商品价值。
然而,在实际生产中,红枣干燥过程的质量控制长期面临一个现实问题:
“看不见过程,只能验收结果。"
近日,一篇发表于 Food Chemistry的研究工作,系统展示了如何利用 高光谱成像技术(HSI)结合深度学习模型,对红枣热风干燥全过程进行无损、定量、可视化的质量监测,为智能干燥与过程控制提供了全新思路。

质量困局,干燥过程
在红枣干燥过程中,行业普遍关注以下关键质量参数:
水分含量(Moisture):关系到安全性与储藏稳定性
可溶性固形物(SSC):直接决定甜度与风味
可滴定酸(TA):影响酸甜平衡
硬度(Hardness):决定口感与咀嚼性
这些参数并非独立变化,而是相互耦合、动态演化:
水分下降 → SSC 与 TA 浓缩
脱水过快 → 表面硬化、内部迁移受阻
温度不当 → 颜色变暗、组织结构破坏
传统检测方法(烘干法、滴定、质构分析等)虽然准确,但普遍存在:
破坏性强,无法在线应用
检测周期长,难以实时反馈
只能获得平均值,缺乏空间信息
这使得干燥工艺在很大程度上仍依赖经验,而非数据驱动。

高光谱成像,一次扫描,多维信息
为解决上述问题,研究团队引入了 可见—近红外高光谱成像技术(400–1000 nm)。
与传统成像或单点光谱不同,高光谱的核心优势在于:
每个像素都包含完整连续光谱
同时具备空间分布信息 + 成分响应信息
对水分、糖类、有机酸等化学键高度敏感
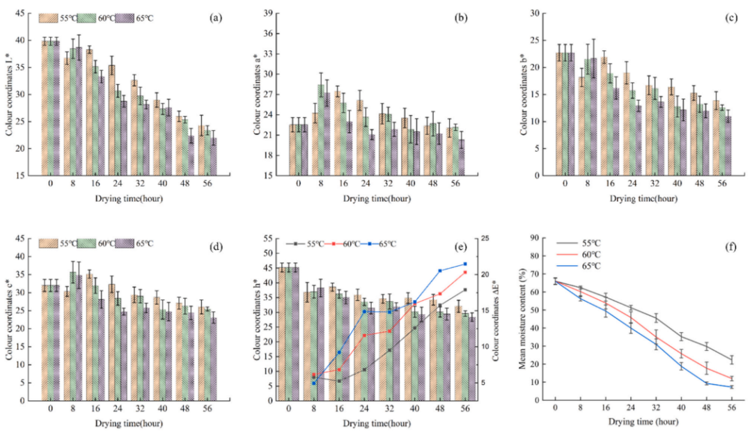
在实验中,研究人员对红枣在 55℃、60℃、65℃ 三种热风干燥条件下,持续 0–56 h 进行高光谱采集,并同步测定理化指标作为参考。
光谱层面的关键发现包括:
在 930–1000 nm 波段,反射率随水分降低显著升高
不同干燥阶段,光谱曲线呈现清晰的阶段性演化
光谱变化与水分、SSC、TA 具有良好的相关性
这表明,高光谱不仅能“看到表面",更能间接反映内部品质变化机制。

深度学习模型的引入从光谱到质量:
高光谱数据本身是高维、强相关、非线性的,仅靠传统线性建模难以充分挖掘其信息潜力。

为此,研究构建并对比了多种模型:
传统化学计量学方法:PLSR
机器学习方法:SVR
深度学习模型:CNN_BiLSTM_SE
该深度模型的结构特点在于:
CNN(卷积神经网络)
自动提取光谱局部特征,减少人工特征选择依赖BiLSTM(双向长短期记忆网络)
捕捉干燥过程中时间维度上的前后关联SE 注意力机制
动态增强关键波段特征,提高模型对重要信息的敏感性

同时,研究通过 网格搜索 + 交叉验证 对模型超参数进行优化,确保预测稳定性与泛化能力。

深度学习不仅“拟合得更好",而且更适合处理干燥过程这种动态、非线性问题。


